Are you looking for a fun and interactive way to practice addition with your students or children? Look no further! Introducing the addition of integers […]
Continue readingMonth: November 2025
Dermatome Chart Printable
Have you ever heard of a dermatome chart printable? If you’re curious about human anatomy or studying to become a healthcare professional, this tool can […]
Continue readingMitosis Worksheet Answers
Are you struggling with understanding mitosis and need some help? Look no further! We have put together a comprehensive mitosis worksheet that includes all the […]
Continue readingAddition And Subtraction Worksheets For Kindergarten
Are you looking for fun and interactive addition and subtraction worksheets for kindergarten students? Look no further! These worksheets are designed to help young learners […]
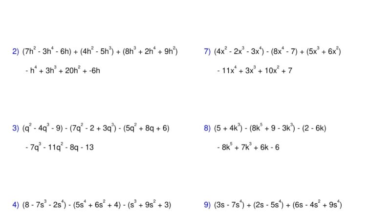
Continue readingAdding Polynomials Worksheet
Polynomials can be a bit tricky to understand, especially when it comes to adding them together. However, with the right practice and resources like adding […]
Continue readingPart Of The Eye Crossword Clue
Have you ever found yourself stuck on a difficult crossword puzzle, desperately searching for the answer to a clue that seems impossible to crack? One […]
Continue readingColoring Pages Printable Pokemon
If you’re a fan of Pokemon and love to color, then printable Pokemon coloring pages are perfect for you! Whether you’re a long-time fan of […]
Continue readingPelvis Bones Crossword
Have you ever tried your hand at solving a crossword puzzle that focuses on the human body? If you enjoy challenging word games and want […]
Continue readingGhost Coloring Page
Are you looking for a fun and creative activity to keep your kids entertained? Why not try coloring! Coloring is a great way for children […]
Continue readingAdding Negative Numbers Worksheet
Are you looking for a fun and engaging way to help your students practice adding negative numbers? Look no further! This adding negative numbers worksheet […]
Continue reading