Are you looking for a fun and interactive way to practice composite functions? Look no further! Our composite functions worksheet is the perfect tool to help you master this challenging concept in math.
Whether you’re a student studying for an upcoming exam or a teacher looking for resources to use in the classroom, our worksheet is designed to make learning composite functions easy and enjoyable.

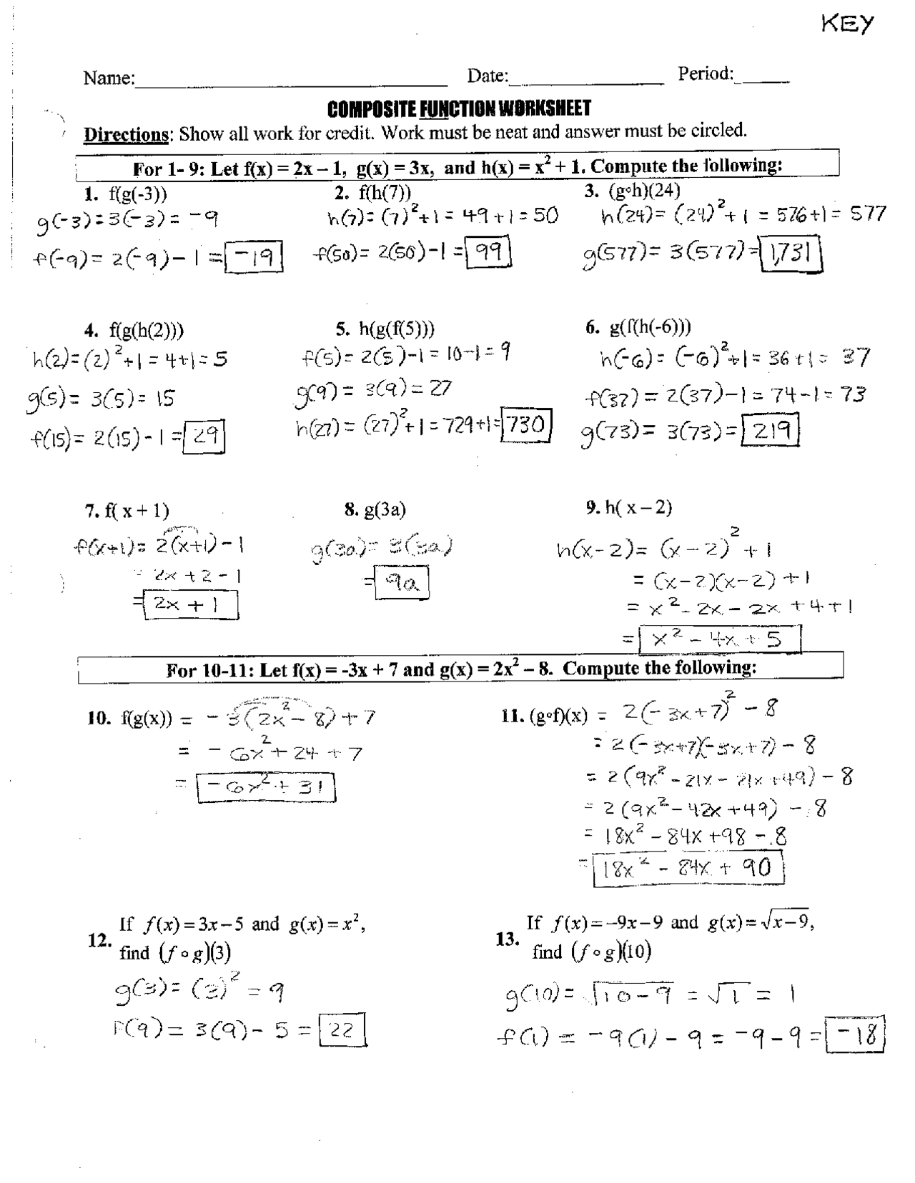
composite functions worksheet
Unlocking the Power of Composite Functions Worksheet
Our composite functions worksheet includes a variety of problems and exercises that will test your understanding of how to combine functions and solve complex equations. From basic to advanced problems, you’ll find everything you need to sharpen your skills.
Each problem is carefully crafted to provide you with a hands-on learning experience that will help you build confidence in working with composite functions. With step-by-step solutions provided, you can track your progress and identify areas where you may need additional practice.
Whether you’re new to composite functions or looking to deepen your understanding, our worksheet offers a comprehensive and engaging way to improve your math skills. Say goodbye to boring textbooks and hello to a more interactive and effective way of learning.
Ready to take your math skills to the next level? Download our composite functions worksheet today and start mastering this challenging concept with confidence!

Composition Of Functions Worksheets Worksheets Library

Composite Functions Worksheet With Answers Exercises Algebra Worksheets Library

Edia AI Platform For Student Outcomes

Composite Functions B Worksheet Algebra II PDF Worksheets Cazoom Math