Are you struggling with understanding the composition of functions? Don’t worry, you’re not alone! Many students find this concept challenging at first. But with the right resources, like a composition of functions worksheet, you can master this topic in no time.
Composition of functions is a fundamental concept in mathematics that involves combining two functions to create a new function. By using a worksheet specifically designed for practicing this concept, you can gain a better understanding of how functions interact with each other.

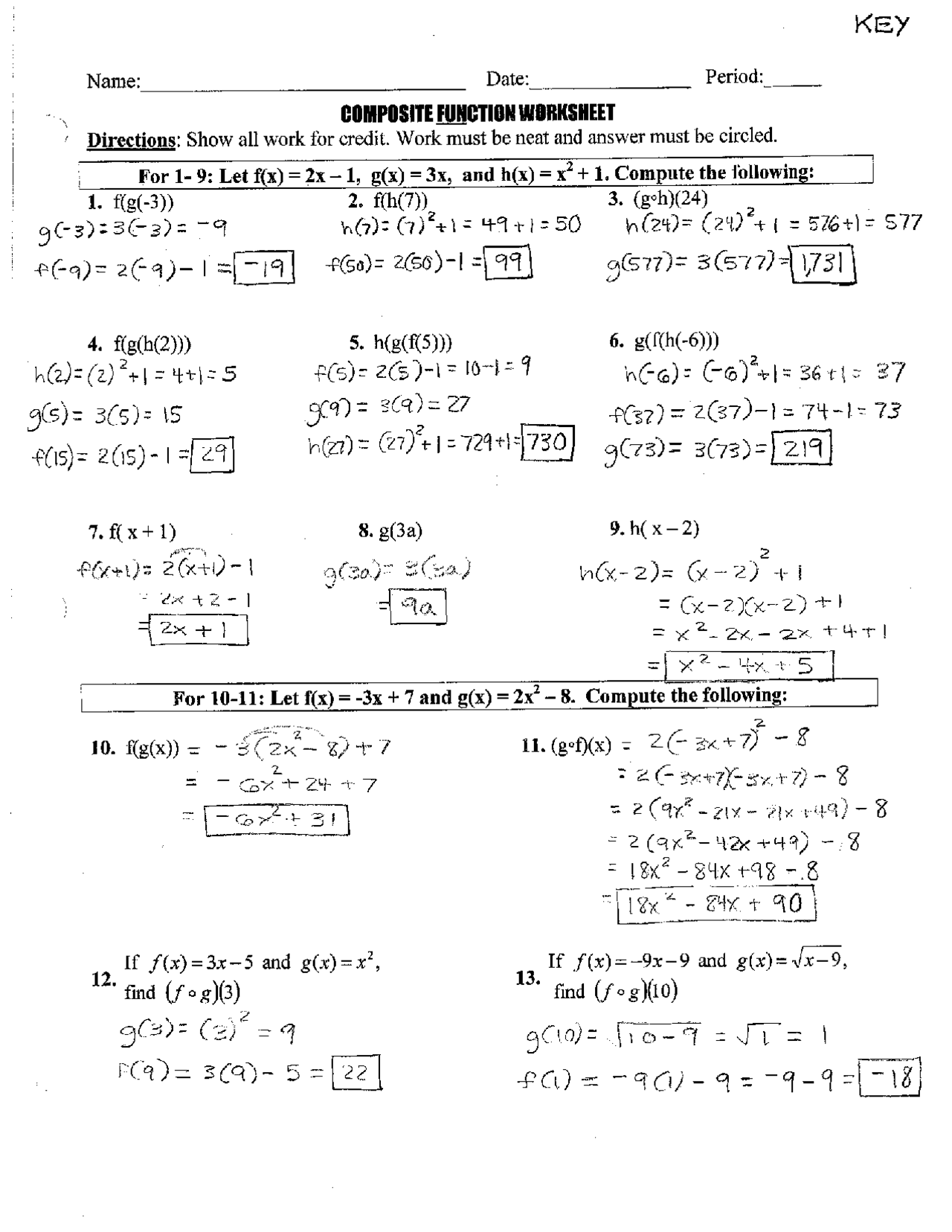
composition of functions worksheet
Exploring a Composition of Functions Worksheet
A composition of functions worksheet typically includes a series of problems where you need to find the composition of two given functions. These problems can vary in complexity, allowing you to practice at different levels and improve your skills gradually.
Working through a composition of functions worksheet can help you develop problem-solving skills, improve your understanding of function notation, and enhance your overall mathematical reasoning abilities. It’s a great way to test your knowledge and reinforce the concepts you’ve learned in class.
So, if you’re looking to sharpen your skills in composition of functions, be sure to give a composition of functions worksheet a try. With practice and dedication, you’ll soon become more confident in your ability to work with functions and tackle more advanced mathematical concepts.
Remember, practice makes perfect! Keep working on those composition of functions worksheets, and before you know it, you’ll be a pro at combining functions and solving complex mathematical problems.

Composition Of Functions Worksheets Worksheets Library

Free Composition Of Functions Worksheet With Answers Download Free Composition Of Functions Worksheet With Answers Png Images Free Worksheets On Clipart Library

Composite Functions B Worksheet Algebra II PDF Worksheets Cazoom Math

Edia AI Platform For Student Outcomes