Are you looking for a fun and interactive way to practice multiplying polynomials? Look no further! Our multiplication of polynomials worksheet is the perfect tool to help you master this important math concept.
Whether you’re a student studying for an upcoming test or a teacher looking for extra practice for your students, our worksheet has got you covered. With a variety of problems to solve, you’ll be multiplying polynomials like a pro in no time!

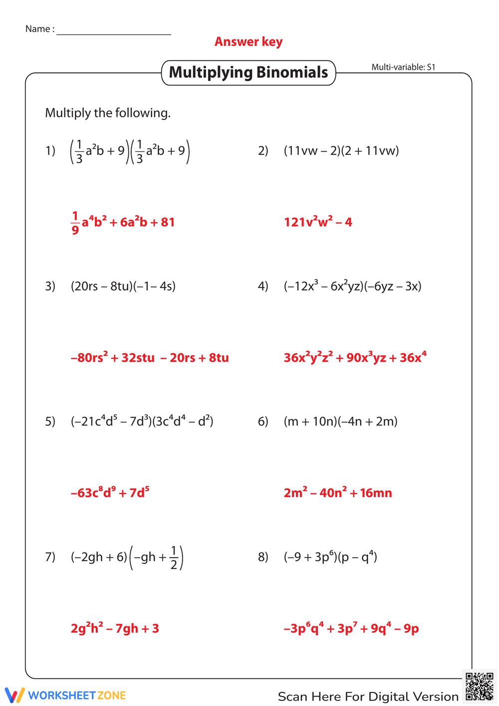
multiplication of polynomials worksheet
Mastering Multiplication of Polynomials Worksheet
Our worksheet includes step-by-step instructions to guide you through each problem, making it easy to understand the process of multiplying polynomials. You’ll have the opportunity to practice both simple and complex problems, ensuring that you’re fully prepared for any challenge that comes your way.
By working through our multiplication of polynomials worksheet, you’ll not only improve your math skills but also build confidence in your abilities. With regular practice, you’ll soon find that multiplying polynomials is a breeze!
So why wait? Download our multiplication of polynomials worksheet today and start honing your math skills. Whether you’re a beginner or an expert, there’s always room for improvement when it comes to mastering this fundamental math concept.
Don’t let multiplying polynomials intimidate you any longer. With our worksheet by your side, you’ll be well on your way to becoming a math whiz in no time. Happy multiplying!

Printable Grade 8 Multiplying Polynomials Worksheets Download

Multiplying And Simplifying Polynomials Worksheet 7th Grade PDF Worksheets Cazoom Math

Multiplying Polynomials Worksheets Printable With Answers Mashup Math

Printable Multiplying Polynomials Worksheets