Are you struggling with multiplying polynomials by polynomials? Don’t worry, you’re not alone! This can be a tricky concept to grasp, but with a little practice, you’ll be a pro in no time.
One helpful resource to aid in your understanding is a multiplying polynomials by polynomials worksheet. This tool allows you to practice various problems and gain confidence in your abilities.

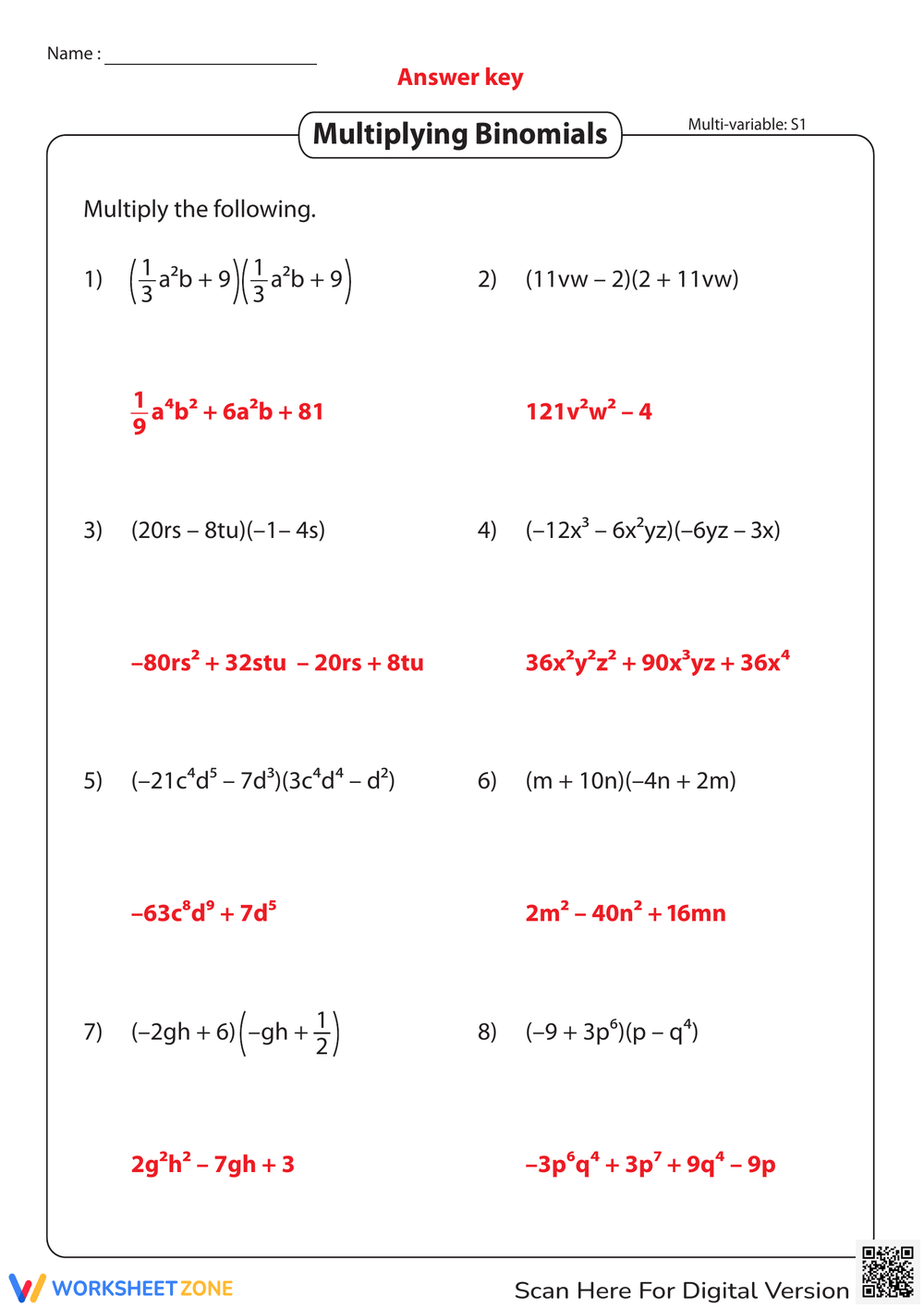
multiplying polynomials by polynomials worksheet
Mastering Multiplying Polynomials by Polynomials Worksheet
When working with these worksheets, it’s essential to remember the rules of multiplying polynomials. Start by distributing each term in the first polynomial to every term in the second polynomial.
Next, combine like terms to simplify the expression further. This step is crucial in ensuring you arrive at the correct answer and avoid any mistakes along the way.
Don’t be discouraged if you make errors initially. Practice makes perfect, and the more you work through these worksheets, the more comfortable you’ll become with the material.
Remember, it’s okay to ask for help if you get stuck on a particular problem. Reach out to your teacher, classmates, or online resources for additional support and guidance.
In conclusion, mastering multiplying polynomials by polynomials takes time and effort, but with dedication and practice, you’ll soon excel in this area of mathematics. So grab a worksheet, sharpen your pencil, and get ready to tackle those polynomials with confidence!

Edia AI Platform For Student Outcomes

Multiplying And Simplifying Polynomials Worksheet 7th Grade PDF Worksheets Cazoom Math

Printable Multiplying Polynomials Worksheets

Multiplying Polynomials Worksheets Printable With Answers Mashup Math